Az interneten, azon belül is a különböző közösségi oldalakon időről időre felbukkan egy látszólag egyszerűnek tűnő matematikai példa, amely mégis hatalmas vitákat vált ki az emberekből. A feladvány így szól:
6:2(1 2)= ?
Bár első ránézésre gyerekjátéknak tűnik a megoldása, ám az internet népe mégis két nagy táborra oszlik: egyesek szerint a helyes válasz 1, míg mások szerint 9. És hogy miért nem annyira egyértelmű a megoldás mindenki számára? A titok a műveleti sorrendben és a kifejezés értelmezésében rejlik.
A helyes megoldás lépésről lépésre
1. Először a zárójelet számoljuk ki:
1 2=3 → 6:2(3)
2. Ezután jön a szorzás és osztás. Fontos tudni, hogy ezek azonos rangú műveletek, tehát balról jobbra kell őket elvégezni:
6:2=3
3×3=9
A helyes megoldás tehát: 9.
Hogyan jön ki az 1, mint megoldás?
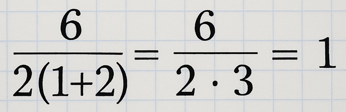
Sokan fejben úgy értelmezik a kifejezést, hogy a nevezőben az egész „2(1 2)” szerepel, vagyis:

Ez azonban egy másik feladat, amelyet helyesen 6:(2(1 2)) formában kellett volna írni, vagyis:

A vitát az okozza, hogy a kifejezés eredeti formája nem egyértelmű mindenki számára. Matematikailag viszont az a szabály, hogy ha nincs külön zárójel, akkor a szorzás és osztás azonos rangú, és balról jobbra kell őket elvégezni.
Már általános iskolában tanuljuk a műveleti sorrendet, de az emlékek idővel megkopnak, illetve amikor egy nem egyértelmű írásmóddal találkozunk, könnyen elbizonytalanodhatunk. Ez a matekpélda pedig azért kapott akkora figyelmet az interneten, mert mindenki biztos volt benne, hogy az ő megoldása a helyes. Szenvedélyes érvelések, kommentháborúk és még YouTube-videók is születtek a hatására.






